Pembahasan soal Gaya Gravitasi
Pertanyaan dari
desi.caroline24@gmail.com
1. Besarnya percepatan gravitasi di permukaan suatu planet akan?
a. Sebanding dengan massa planet dan jari-jari planetb. Sebanding dengan massa planet saja
c. Sebading dengan jari-jari planet dan berbanding terbalik dengan massa planet
d. Sebanding dengan massa planet dan berbanding terbalik dengan kuadrat jari-jari planet
e. Sebanding dengan massa planet dan berbanding terbalik dengan jari-jari planet
Pembahasan :
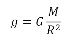
besar percepatan grafitasi suatu planet di rumuskan
jadi dari persamaan diatas disimpulkan percepatan gravitasi sebanding dengan : Massa Planet dan tetapan gravitasi yang nilainya adalah
dan Berbanding terbalik dengan kuadrat Jari-jari Planet
2. Percepatan di permukaan bumi yaitu sebesar g. Besarnya gravitasi pada tempat berjarak 2R (R=jari-jari bumi) dari permukaan bumi adalah?
a. g. c. 1/9 gb. 1/3 g d. 1/2 g
Pembahasan :
3. Dua buah benda yang massanya m1 dan m2 dipisahkan pada jarak r. Jika kemudian jaraknya dijadika 2r, perbandingan gaya gravitasi mula-mula dan akhir adalah?
a. 1 : 2 c. 1 : 4 e. 4 : 3b. 2 : 1 d. 4 : 1
Penyelesaian:
maka perbandingan mula-mula dan yang kedua adalah F1 : F2 = 4 : 1
4. Sebuah benda yang diletakkan dipermukaan bumi yang berjari-jari R memiliki berat 450 N. Jika benda diletakkan pada ketinggian 2R dari permukaan bumi, maka berat benda menjadi....
a. 450 N c. 150 N e. 50 Nb. 300 N d. 90 N
Penyelesaian :
5. Sebuah benda yang diletakkan dipermukaan bumi yang berjari-jari R memiliki berat 1.000 N. Jika benda diletakkan pada ketinggian 3/2 R dari permukaan bumi, maka berat benda menjadi....
a. 1.500 N c. 450 N e. 75 Nb. 1000 N d. 160 N




Bagaimana cara tanya soal melalui foto..atau dikirim melalui whatsapp??
ReplyDeleteTerimakasih