Pengertian Gelombang
Tutorial kak Yusuf, Apa kabar adik-adik kelas 3 semoga selalu dalam keadaan baik. Semester 6 atau semester 1 di kelas 12 adalah awal belajar kembali terutama belajar fisika, materi fisika kelas 12 adalah GELOMBANG, kita akan membahasa rumus fisika tentang gelombang, contoh soal dan macam-macam gelombang.
Gelombang memiliki sifat , adapun sifat-sifat gelombang adalah:
1. Pemantulan gelombang (Refleksi)
2. Pembiasan gelombang (Refraksi)
3. Interferensi Gelombang
4. Pelenturan gelombang (Difraksi)
5. Polarisasi Gelombang
6. Penguraian gelombang (Dispersi)
Nah mari kita pelajari satu persatu sifat gelombang
Pemantulan gelombang adalah pembalikan arah rambat gelombang karena membentur suatu medium atau pembatas. Bila sebuah gelombang merambat dan mengenai bidang pembatas yang keras, maka gelombang tersebut akan mengalami pemantulan. Ada beberapa macam pemantulan gelombang, yaitu sebagai berikut.
Pembiasan gelombang adalah pembelokan rambat gelombang karena melalui dua medium yang memiliki kerapatan yang berbeda. Pembelokan gelombang dinamakan pembiasan. Menurut Hukum Snellius tentang pembiasan sebagai berikut:
Sinar datang, garis normal, dan sinar bias, terletak pada satu hidang datar.
Sinar datang dari medium dengan indeks bias kecil (kurang rapat) ke medium dengan indeks bias yang lebih besar (lebih rapat), maka akan dibiaskan (dibelokkan) mendekati garis normal.
Sinar datang dari medium dengan ke medium dengan indeks bias yang besar (lebih rapat) ke indeks bias lebih kecil (kurang rapat), maka akan dibiaskan (dibelokkan) menjauhi garis normal.
Sinar datang secara tegak lurus bidang batas, maka tidak akan mengalami pembiasan.
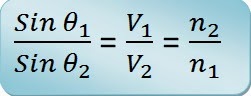
Perbandingan nilai sinus sudut datang (sin i) terhadap sinus sudut bias (sin r) dari satu medium ke medium lainnya selalu tetap. Perbandingan ini disebut sehagai indeks bias relatif suatu medium terhadap medium lain.
Hukum Snellius dapat dirumuskan:
Keterangan:
sudut 1 = sudut datang,
sudut 2 = sudut bias,
v1 = cepat rambat gelombang dalam medium 1 (m/s),
v2 = cepat rambat gelombang dalam medium 2 (m/s),
n1 = indeks bias medium 1
n2 = indeks bias medium 2
Interferensi gelombang adalah peristiwa perpaduan dua gelombang yang mempunyai frekuensi dan beda fase sama (koheren) yang bertemu di suatu tempat. interferensi gelombang dibedakan menjadi dua, yaitu:
Interferensi konstruktif adalah interferensi dua gelombang yang memiliki fase yang sama yang akan saling memperkuat.
Interferensi desdruktif adalah intereferensi dua buah gelombang dengan fase yang berlawanan berpadu saling melemahkan. Pada interferensi konstruktif akan membentuk amplitudo yang dua kali semula, sedangkan pada interferensi desdruktif akan terbentuk titik simpul.
Pelenturan gelombang adalah lenturan gelombang yang disebabkan oleh adanya penghalang berupa celah sempit.
Polarisasi gelombang adalah peristiwa terserapnya sebagian arah getar cahaya. Polarisasi gelombang hanya terjadi pada gelombang transversal dan tidak terjadi pada gelombang bunyi yang merupakan gelombang longitudinal. Pada gelombang transversal sebagian arah getarnya terserap disebut terpolarisasi dan jika cahaya hanya memiliki satu arah getar tertentu disebut terpolarisasi linear. Pada gelombang longitudinal, arah getarnya selalu sama dengan arah merambatnya sehingga arah memanjang celah tidak akan mempengaruhi gelombang.
1. Gelombang elektromagnetik
Gelombang elektromagnetik adalah gelombang yang didalam perambatannya tidak memerlukan medium perantara. Contohnya, sinar gamma (γ), sinar X, sinar ultra violet, cahaya tampak, infra merah, gelombang radar, gelombang TV, dan gelombang radio.
2. Gelombang mekanik
Gelombang mekanik adalah gelombang yang di dalam perambatannya memerlukan medium perantara.
Gelombang mekanik berdasarkan arah getarnya terdiri dari dua jenis, yaitu gelombang transversal dan gelombang longitudinal.
A. Gelombang Transversal
Gelombang transversal adalah suatu gelombang jika partikel-partikel mediumnya bergetar ke atas dan ke bawah dalam arah tegak lurus terhadap gerak gelombang. Satu gelombang terdiri atas satu lembah dan satu bukit, contohnya seperti riak gelombang air, dan tali yang digetarkan.
B. Gelombang Longitudinal
Gelombang longitudinal adalah suatu gelombang yang arah getaran medium sejajar dengan arah rambat gelombang. Contoh gelombang logitudinal adalah gelombang suara di udara.
Berdasarkan amplitudo dan fase gelombang dibedakan menjadi dua sebagai berikut.
Gelombang berjalan
Gelombang berjalan adalah gelombang yang amplitudo dan fasenya sama di setiap titik yang dilalui gelombang.
Gelombang stasioner atau diam
Gelombng diam (stasioner) adalah gelombang yang amplitudo dan fasenya berubah (tidak sama) di setiap titik yang dilalui gelombang.
Apa itu Gelombang?
Gelombang adalah getaran yang merambat dan getaran merupakan sumber gelombang, Sifat-Sifat GelombangGelombang memiliki sifat , adapun sifat-sifat gelombang adalah:
1. Pemantulan gelombang (Refleksi)
2. Pembiasan gelombang (Refraksi)
3. Interferensi Gelombang
4. Pelenturan gelombang (Difraksi)
5. Polarisasi Gelombang
6. Penguraian gelombang (Dispersi)
Nah mari kita pelajari satu persatu sifat gelombang
Pemantulan gelombang (Refleksi)
![]() |
Pemantulan gelombang (Refleksi) |
Pemantulan gelombang adalah pembalikan arah rambat gelombang karena membentur suatu medium atau pembatas. Bila sebuah gelombang merambat dan mengenai bidang pembatas yang keras, maka gelombang tersebut akan mengalami pemantulan. Ada beberapa macam pemantulan gelombang, yaitu sebagai berikut.
- Pemantulan gelombang pada tali.
- Pemantulan gelombang pada permukaan air.
- Pemantulan cahaya pada cermin datar
- Pemantulan pada gelombang elektromagnetik.
Pembiasan gelombang (Refraksi)
Pembiasan gelombang adalah pembelokan rambat gelombang karena melalui dua medium yang memiliki kerapatan yang berbeda. Pembelokan gelombang dinamakan pembiasan. Menurut Hukum Snellius tentang pembiasan sebagai berikut:
Sinar datang, garis normal, dan sinar bias, terletak pada satu hidang datar.
Sinar datang dari medium dengan indeks bias kecil (kurang rapat) ke medium dengan indeks bias yang lebih besar (lebih rapat), maka akan dibiaskan (dibelokkan) mendekati garis normal.
Sinar datang dari medium dengan ke medium dengan indeks bias yang besar (lebih rapat) ke indeks bias lebih kecil (kurang rapat), maka akan dibiaskan (dibelokkan) menjauhi garis normal.
Sinar datang secara tegak lurus bidang batas, maka tidak akan mengalami pembiasan.
Perbandingan nilai sinus sudut datang (sin i) terhadap sinus sudut bias (sin r) dari satu medium ke medium lainnya selalu tetap. Perbandingan ini disebut sehagai indeks bias relatif suatu medium terhadap medium lain.
Hukum Snellius dapat dirumuskan:
Keterangan:
sudut 1 = sudut datang,
sudut 2 = sudut bias,
v1 = cepat rambat gelombang dalam medium 1 (m/s),
v2 = cepat rambat gelombang dalam medium 2 (m/s),
n1 = indeks bias medium 1
n2 = indeks bias medium 2
Interferensi Gelombang
Interferensi gelombang adalah peristiwa perpaduan dua gelombang yang mempunyai frekuensi dan beda fase sama (koheren) yang bertemu di suatu tempat. interferensi gelombang dibedakan menjadi dua, yaitu:
Interferensi konstruktif adalah interferensi dua gelombang yang memiliki fase yang sama yang akan saling memperkuat.
Interferensi desdruktif adalah intereferensi dua buah gelombang dengan fase yang berlawanan berpadu saling melemahkan. Pada interferensi konstruktif akan membentuk amplitudo yang dua kali semula, sedangkan pada interferensi desdruktif akan terbentuk titik simpul.
Pelenturan gelombang (Difraksi)
Pelenturan gelombang adalah lenturan gelombang yang disebabkan oleh adanya penghalang berupa celah sempit.
Polarisasi Gelombang
Polarisasi gelombang adalah peristiwa terserapnya sebagian arah getar cahaya. Polarisasi gelombang hanya terjadi pada gelombang transversal dan tidak terjadi pada gelombang bunyi yang merupakan gelombang longitudinal. Pada gelombang transversal sebagian arah getarnya terserap disebut terpolarisasi dan jika cahaya hanya memiliki satu arah getar tertentu disebut terpolarisasi linear. Pada gelombang longitudinal, arah getarnya selalu sama dengan arah merambatnya sehingga arah memanjang celah tidak akan mempengaruhi gelombang.
- Gelombang terpolarisasi linier pada arah vertical
- Gelombang terpolarisasi linier pada arah horizontal
- Gelombang takterpolarisasi
Penguraian gelombang (Dispersi)
Dispersi cahaya adalah peristiwa peruraian cahaya. Contohnya, cahaya putih dapat terurai mnjadi cahaya merah, jingga, kuning, hijau, biru, nila, dan ungu. (mejikuhibiniu). Susunan spektrum warna tersebut disebut cahaya monokromatik, sedangkan cahaya putih disebut cahaya polikromatik. Cahaya monokromatik mempunyai panjang gelombang dan frekuensi tertentu yang berbeda satu dengan yang lainnya.Macam-macam gelombang
Berdasarkan pada medium perambatan gelombang dibedakan menjadi dua sebagai berikut.1. Gelombang elektromagnetik
Gelombang elektromagnetik adalah gelombang yang didalam perambatannya tidak memerlukan medium perantara. Contohnya, sinar gamma (γ), sinar X, sinar ultra violet, cahaya tampak, infra merah, gelombang radar, gelombang TV, dan gelombang radio.
2. Gelombang mekanik
Gelombang mekanik adalah gelombang yang di dalam perambatannya memerlukan medium perantara.
Gelombang mekanik berdasarkan arah getarnya terdiri dari dua jenis, yaitu gelombang transversal dan gelombang longitudinal.
A. Gelombang Transversal
Gelombang transversal adalah suatu gelombang jika partikel-partikel mediumnya bergetar ke atas dan ke bawah dalam arah tegak lurus terhadap gerak gelombang. Satu gelombang terdiri atas satu lembah dan satu bukit, contohnya seperti riak gelombang air, dan tali yang digetarkan.
B. Gelombang Longitudinal
Gelombang longitudinal adalah suatu gelombang yang arah getaran medium sejajar dengan arah rambat gelombang. Contoh gelombang logitudinal adalah gelombang suara di udara.
Berdasarkan amplitudo dan fase gelombang dibedakan menjadi dua sebagai berikut.
Gelombang berjalan
Gelombang berjalan adalah gelombang yang amplitudo dan fasenya sama di setiap titik yang dilalui gelombang.
Gelombang stasioner atau diam
Gelombng diam (stasioner) adalah gelombang yang amplitudo dan fasenya berubah (tidak sama) di setiap titik yang dilalui gelombang.





Post a Comment